INTRODUCCIÓN
La prueba de difusión de monóxido de carbono (DLCO), también conocida como capacidad de difusión de CO, es una medida de la capacidad de los pulmones para transferir gases del aire al torrente sanguíneo y es una herramienta para el diagnóstico, la valoración de severidad y el seguimiento de determinadas enfermedades respiratorias. Es, junto a la espirometría, un método auxiliar de diagnóstico no invasivo que aporta información sobre el área alvéolo-capilar efectiva disponible para el intercambio de gases en el pulmón que requiere una adecuada ventilación alveolar, una difusión apropiada de gases entre alvéolos y capilares, un aporte sanguíneo pulmonar apto y una conveniente concentración de hemoglobina1.
La DLCO resulta de dos mediciones principales: el volumen alveolar accesible durante una retención de la respiración (VA) y la tasa de absorción de CO por la sangre capilar alveolar (kCO) y puede ayudar en la evaluación de pacientes que denotan un disturbio restrictivo en la espirometría con o sin radiografía de tórax anormal, en el seguimiento de pacientes con enfermedades pulmonares intersticiales difusas o en aquellos que consumen medicamentos o sustancias que pueden comprometer al aparato respiratorio así como también en pacientes con disnea que muestran espirometría normal y que no tienen hallazgos significativos en estudios de imágenes del tórax2. Esta prueba continúa siendo infravalorada en la práctica clínica pese a que facilita la detección temprana y la categorización precisa de la EPOC3, sirve de pronóstico en la hipertensión pulmonar arterial4) y demuestra mayor poder de predicción en el momento de la evaluación preoperatoria de resección pulmonar5.
La variabilidad de reportes de la DLCO puede deberse a diferencias entre los equipamientos disponibles y las condiciones en las cuales la prueba se realiza, pero descubrir cuáles son los valores de referencia indicados puede ser el punto de partida de un consenso técnico y utilitario. Varios de los estudios fueron realizados en adultos no hispánicos y de ellos se derivaron ecuaciones de predicción. El objetivo principal de este ensayo fue comparar el desempeño o ajuste de dichos valores de referencia a medidas obtenidas en una muestra de individuos de nuestro país. Como objetivo secundario se analizaron las concordancias entre las estratificaciones de severidad de los disturbios determinados por cada ecuación de referencia.
MATERIAL Y MÉTODOS
Es un estudio observacional donde una muestra consecutiva de 150 reportes de pruebas de DLCO, realizadas durante al año 2016 y 2017, se escogió del Laboratorio de Función Pulmonar del Sanatorio Santa Julia. Se consignaron los datos antropométricos de los individuos que realizaron el test. No se excluyeron fumadores y pacientes con reportes de espirometría con patrón obstructivo a fin de cumplir con el objetivo secundario.
Las valoraciones fueron realizadas mediante el dispositivo EasyOne Pro©LAB (ndd Medical Technologies, Zurich, Suiza) y los estudios se hicieron siempre en el mismo lugar acorde a las normativas sugeridas por la ATS/ERS6. El equipo utiliza un termómetro electrónico para medir la temperatura ambiente y un manómetro interno para medir la presión del aire, corrigiendo el volumen de gas exhalado a la temperatura corporal y la presión del vapor de agua a presión atmosférica (BTPS). Los equipos cumplen con los criterios de calibración diaria con una jeringa de tres litros y los exámenes fueron realizados por dos técnicas con amplia experiencia en pruebas de función pulmonar.
En el laboratorio se realizó la técnica de respiración única y se consideraron como pruebas de calidad a dos maniobras con una diferencia de ±10% del valor más alto y que tengan una diferencia de menos de 3 ml/min/mmHg entre los reportes. El valor registrado final se deriva del promedio de los valores aceptables. El tiempo inspiratorio, debió ser de 10±2 segundos. No debieron constatarse fugas, ni variaciones excesivas de presión en la boca, exhibidas en el monitor durante la realización de la prueba. La exhalación debió durar menos de 4 segundos. Las mediciones de DLCO se expresaron en valores absolutos (mL∙min-1∙mmHg-1) y relativos, como porcentajes de valores predichos según las ecuaciones de Miller, Knudson, Paoletti y de la Global Lung Initiative (GLI)7-10. Se incluyeron reportes normales y estratificados acorde a documento de la European Respiratory Society (leves: > 60% y < al límite inferior de normalidad o LIN; moderados 40-60% y severos < 40%)11.
Para el análisis descriptivo, se consideraron los datos antropométricos (sexo, edad, peso, talla e IMC) y los valores absolutos de la DLCO, VA (L) y kCO (ml/min/L). Se ha utilizado el gráfico de dispersión para evaluar la relación lineal de los valores de DLCO según altura y edad a través del coeficiente de determinación (R2) que proporciona la bondad de ajuste del modelo.
Parte fundamental del análisis consistió en el cálculo de los residuos (diferencial entre medidas de DLCO observadas y medidas esperadas) de modo a comparar estadísticamente su distribución mediante ANOVA. Para evaluar el grado de concordancia entre diferentes estratificaciones de severidad dictadas por las ecuaciones estudiadas, se recurrió al cálculo del coeficiente de Kappa para la muestra total y entre hombres y mujeres. Se utilizó el software JASP (JASP 2024, Versión 0.19.1; University of Amsterdam). El nivel de significancia se fijó en p<0,05.
El protocolo fue aprobado por el Comité de Docencia e Investigación del Hospital General de Luque (Ministerio de Salud Pública y Bienestar Social).
RESULTADOS
Se seleccionaron 124 pruebas que llenaron los criterios de buena calidad, provenientes de 56 mujeres y 68 hombres, cuyas características se muestran en la Tabla 1. Se excluyeron a 16 muestras debido a obesidad (IMC ≥ 30 kg/m2) y 10 por haber sido categorizados como obstructivos severos por espirometría.
Tabla 1. Variables agrupadas según género
| Sexo | Edad (años) | Estatura (cm) | IMC(Kg/m2) |
|---|---|---|---|
| Hombres (n = 68) | 63,5±12,5 | 172,6±7,1 | 26±3,6 |
| Mujeres (n = 56) | 57,2±13,8 | 160,1±5,8 | 24±4,2 |
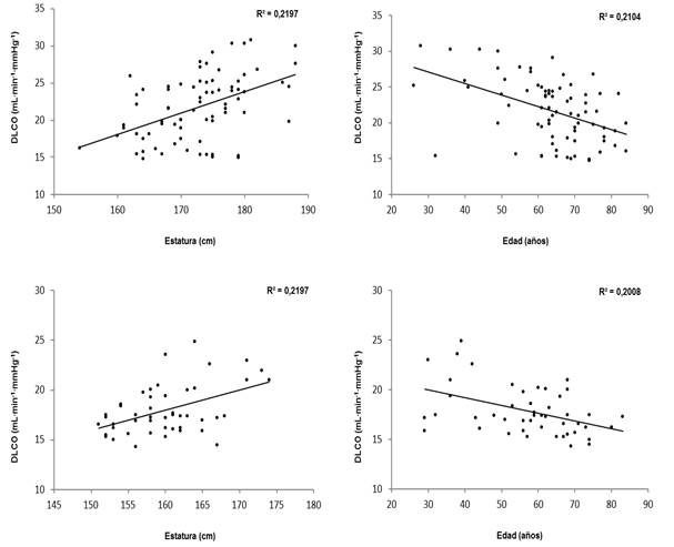
Entre los hombres, el 75% tenía ≥ 60 años y entre las mujeres el 48%, sin diferencia significativa (p <0,05). El 56,5% de la muestra refirió antecedentes de tabaquismo (fumadores o ex fumadores) y en el 17,7% se constató patrón obstructivo a la espirometría realizada previamente. Entre los hombres, la proporción de estas dos variables fue significativamente mayor. La correlación la edad y la altura con los valores absolutos de DLCO obtenidos se muestran en la Figura 1, acorde a cada género.

Figura 1. Gráficos de dispersión que muestran los valores de DLCO en relación a la estatura y la edad de la muestra estudiada de hombres (arriba) y de mujeres (abajo).
La distribución de los parámetros funcionales principales según género se muestra en la Tabla 2.
Tabla 2. Distribución (promedio y desvío estándar) de variables funcionales según genero estudiado.
| Hombres | Mujeres | p | |
| DLCO(ml/min/mmHg) | 21,7±4,4 | 17,9±2,5 | < 0,001 |
| kCO (ml/min/L) | 3,94±0,94 | 4,23±0,77 | 0,06 |
| VA (L) | 5,18±1,14 | 3,84±0,75 | < 0,001 |
En el cálculo de los residuos (valores esperados por ecuaciones menos valores absolutos observados) se observaron en los hombres los siguientes resultados expresados en promedios y desvío estándar (ml/min/mmHg): 7,04±4,9(Miller), 12,58±4,7 (Knudson), 12,6±5,0 (Paoletti) y 5,63±5,0 (GLI). En las mujeres se observó lo siguiente: 6,01±3,8 (Miller), 4,82±3,4 (Knudson), 10,8±3,4 (Paoletti) y 4,29±3,5 (GLI). En ambos conglomerados el análisis de varianza (ANOVA) mostró diferencia significativa (p = 0.001). La distribución comparativa de los residuos se observa en la Figura 2.
En un sub-análisis del grupo no fumador y sin patrón obstructivo a la espirometría (n=46), las tendencias en los resultados mencionados muestran similares características.

Figura 2. Gráfico de cajas y bigotes (box-plot) que muestra la distribución de los residuos (valores de DLCO esperados de menos valores observados) acorde a las ecuaciones de Miller (M), Knudson (K), Paoletti (P) y GLI (G), en hombres (a) y mujeres (b).
El estudio de la concordancia entre los niveles de severidad dictaminados para los resultados de la prueba de DLCO acorde a las cuatro ecuaciones estudiadas y a género se visualiza en la Tabla 3. Nótese la dispersión existente entre los resultados, pero puntualícese como los cálculos según la GLI proporcionan menores proporciones de grados leves. Dicho de otro modo, al emplear las ecuaciones de Miller, Knudson y Paoletti se obtuvieron chances superiores de encontrar resultados alterados: 62% (M) vs 77% (K) vs 91%(P) vs 47% (GLI).
Tabla 3. Distribución de la clasificación de severidad de la disminución de los valores de DLCO observados, según cuatro ecuaciones de referencia.
| Miller | Knudson | Paoleti | GLI | |
|---|---|---|---|---|
| Hombres, n (%) | ||||
| Leve | 18 (26) | 36 (52) | 32 (46) | 11 (16) |
| Moderada | 20 (29) | 24 (34) | 22 (31) | 13 (19) |
| Severa | 3 (4) | 4 (5) | 7 (10) | 0 |
| Mujeres, n (%) | ||||
| Leve | 21 (38) | 21(38) | 25 (45) | 9 (16) |
| Moderadas | 13 (24) | 10 (18) | 22 (40) | 14 (25) |
| Severa | 2 (4) | 1 (2) | 6 (11) | 1 (2) |
| Total, n (%) | ||||
| Leve | 39 (31) | 57 (46) | 57 (46) | 20 (16) |
| Moderada | 33 (27) | 34 (27) | 44 (35) | 27 (22) |
| Severa | 5 (4) | 5 (4) | 13 (10) | 1 (0,9) |
La Tabla 4 muestra concordancia muy dispersa entre los hallazgos al observar los valores de referencia en hombres y mujeres aquí estudiados. La columna de coeficientes según GLI solo propone buena correlación con los valores de Knudson y apenas en mujeres.
Tabla 4. Niveles de concordancia (valor de Kappa y IC 95%) para el diagnóstico de los resultados de DLCO acorde a cuatro ecuaciones de referencia.
| Knudson | Paoletti | GLI | |
|---|---|---|---|
| Hombres | |||
| Miller | 0,18 (-0,18 a 0,54) | 0,18 (-0,18 a 0,54) | -0,06 (-0,10 a -0,02) |
| Knudson | - | 0,83 (0,71 a 0,94) | -0,13 (-0,29 a 0,04) |
| Paoletti | - | - | -0,13 (-0,29 a 0,04) |
| Mujeres | |||
| Miller | 0,38 (-0,17 a 0,92) | 0,06 (-0,04 a 0,17) | 0,38 (-0,28 a 1,00) |
| Knudson | - | -0,65 (-0,10 a -0,02) | 0,83 (0,72 a 0,94) |
| Paoletti | - | - | -0,11 (-0,47 a 0,28) |
| Total | |||
| Miller | 0,37 (-0,17 a 0,92) | 0,06 (-0,04 a 0,17) | 0,37 (-0,28 a 1,00) |
| Knudson | - | -0,06 (-0,11 a -0,02) | 0,83 (0,71 a 0,95) |
| Paoletti | - | - | -0,10 (-0,48 a 0,57) |
DISCUSIÓN
La DLCO está determinada por la presión del gas en el aire inspirado, por la uniformidad en la distribución de ventilación y perfusión, por el gradiente de presión de gas entre alveolos y capilares, por el espesor y el área de los componentes de la membrana alveolo-capilar y por la concentración y capacidad de captación de la hemoglobina, de este modo aumenta con la altitud, con el tamaño corporal (altura o peso) y disminuye con la edad12. Aunque típicamente la prueba de difusión de monóxido de carbono se utiliza mayoritariamente dentro de los algoritmos clínicos de las enfermedades que comprometen al intersticio y a la vasculatura pulmonar, se sabe hoy día que también podría existir una correlación con la precoz disfunción de vías aéreas13.
Los procedimientos y protocolos, equipamiento y mantenimiento, calibración y verificación, instalaciones, competencia del o los operadores y procedimientos generales (mediciones antropométricas no estandarizadas, preparación del paciente, orden de las pruebas, aspectos sobre el control de infecciones, etc.) son factores que determinan la variabilidad en los reportes de los valores en las mediciones de la función pulmonar. En general es deseable que los laboratorios consigan coeficientes de variación de <5% para la espirometría, <7% para los volúmenes pulmonares y >9% para DLCO14. En este último caso, además de los factores citados más arriba, también se pueden encontrar variaciones diurnas en voluntarios sanos que podrían explicarse por oscilaciones fisiológicas del gasto cardiaco debido a ejercicios leves o estrés15. Estas razones condujeron a varias sociedades a emitir documentos que sugieren condiciones estándares para la medición e interpretación de la DLCO (6, 10, 14, 16,17).
Uno de los aspectos críticos para el reporte de DLCO es la apropiada selección de ecuaciones de referencia para nuestra región. Vázquez-García y cols proponen valores de referencia para uso en Latinoamérica basados en una muestra de 480 individuos aparentemente sanos mayoritariamente provenientes de la ciudad de México y de Caracas a más de Santiago de Chile y Bogotá, debiendo tenerse en cuenta que ninguna ciudad a nivel del mar fue incluida18. La presión barométrica y la presión parcial alveolar de O2 afectan significativamente la medida de DLCO como lo demostraron Hegewald y cols19. En 120 voluntarios de ambos sexos, no fumadores y sin enfermedades cardiopulmonares, pertenecientes a seis ciudades brasileras (4 a 760 mts sobre nivel del mar) Guimarães y cols han encontrado que las ecuaciones de Crapo, Neder y Miller difieren de los valores observados sugiriendo que la de GLI tuvo mejor ajuste y desempeño20. De igual modo en nuestro estudio hemos encontrado que los valores previstos por la GLI ajustan mejor a las medidas efectuadas en el laboratorio seleccionado, aunque se debe destacar que la muestra de individuos sin tabaquismo y sin obstrucción detectada por espirometría sea pequeña. No obstante, un estudio de muestra de la práctica clínica real es interesante para poder evaluar no solo el ajuste de los parámetros sino también la diferencia entre las estratificaciones de severidad que pueden resultar del análisis comparativo. Un correcto enfoque en la interpretación de nuestros datos debe considerar que la muestra aquí estudiada pertenece mayoritariamente al grupo de adultos mayores y para ellos los valores previstos de Miller abarcan edades comprendidas entre 20-70 años, los de Knudson entre 25-85 años, los de Paoletti entre 19-64 años y los de la GLI entre 4-91 años.
Globalmente existe una asimetría en estos ajustes cuando consideramos factores como género y edad. Al igual que en el grupo aquí estudiado, Mangseth y cols también han encontrado que en el sexo masculino y en el grupo de adultos mayores, las diferencias son algo más acentuadas al comparar dos ecuaciones, resultando que el 16% de las medidas se encontraron debajo del límite inferior de la normalidad (GLI) comparadas con el 49% relativos a los previstos de la European Coal and Steel Community (ECSC)21. Similares hallazgos son reportados por la publicación de Wardyn y cols, en la cual la capacidad de predicción de las ecuaciones de la GLI se mostró mejores a las de la ECSC al incluir pacientes con varias enfermedades (asma, bronquitis crónica, fibrosis quística enfermedades pulmonares intersticiales difusas) incluyendo un grupo control o sin patologías respiratorias en el cual mencionan un mayor ajuste en las mujeres (22. Considérese, sin embargo, que existen hallazgos controversiales sobre la universalidad de los valores predichos de la GLI (23,24.
La fortaleza de predicción de las ecuaciones de la Global Lung Initiative tiene dos asideros fundamentales y merece unas líneas. En primer lugar la composición de ecuaciones de referencia para la espirometría desde un componente multiétnico y desde un mayor espectro de edades proyecta mayor universalidad, proponiendo una nueva visión de la interpretación de la función pulmonar a punto que la Sociedad Estadounidense del Tórax (ATS, siglas en inglés) ha publicado una declaración oficial sobre la necesidad de adoptar parámetros que no tengan coeficientes de ajuste para el factor racial (GLI global), ya que cálculos comparativos del GLI-2012 con GLI global no mostraron diferencias en la exactitud para discriminar desenlaces clínicos relevantes25,26. Ahora bien, los datos del GLI para DLCO fueron derivados mayoritariamente de individuos caucásicos y los autores enuncian que la generalización a otras poblaciones es incierta, ya que las diferencias étnicas para la prueba de DLCO resultan aun vacilantes (10. En segundo lugar, es posible que exista una base estadística más sólida en la capacidad de derivación y predicción de las formulas ya que las mismas devienen de la utilización de modelos aditivos generalizados para ubicación, escala y forma (GAMLSS) que consiste en un enfoque de regresión semiparamétrica que puede suavizar las curvas de percentiles modelando así los cambios en el tamaño de los pulmones con la edad y la altura desde la infancia hasta la edad adulta (27). Zavorsky y cols. mencionan, no obstante, que la regresión linear segmentada es aún válida y hasta de mejor desempeño que los modelos GAMLSS, pese a su simplicidad (28.
Otro de los hallazgos destacables de este estudio, similar a los ensayos pragmáticos o del mundo real, es que, al utilizar diferentes valores de referencia para estratificar los disturbios de la DLCO, son notorias y significativas las diferencias en los reportes. Esto puede llevar a una discriminación equivocada de los pacientes a la hora de ciertos gestos clínicos como la categorización del grado de disfunción respiratoria, la inclusión de criterios de tratamiento o durante la evaluación de respuesta al tratamiento. Este fenómeno es mucho más probable con los antiguos criterios de severidad de la disminución de DLCO (porcentaje del previsto) y que se emplearon en este estudio5. Abordajes matemáticos más expresivos y exactos se sugieren en la actualidad para discriminar y categorizar los disturbios de función pulmonar como el empleo del límite inferior de la normalidad o LIN (percentil 5 de la distribución de valores o punto de corte donde el 5% de los resultados de una prueba de población normal, resultan inferiores) y el escore Z (número de desviaciones estándar en las que un parámetro se desvía del centro de la campana de distribución de valores) (10,29.
Uno de los más grandes dilemas en la medicina paraguaya es la falta de documentos nacionales que dicten normas actualizadas sobre los criterios cualitativos requeridos para la correcta ejecución e interpretación de los métodos auxiliares de diagnóstico. En el campo de la DLCO, los criterios de aceptabilidad y reproducibilidad de Macyntire difieren de los de Stanojevic que establece que el volumen inspirado de gas de prueba debe superar el 90% de la capacidad vital más grande medida y requiere además limites más precisos de variabilidad para garantizar resultados más consistentes (6,10. Por el carácter retrospectivo de este estudio hay que destacar que una de sus limitaciones consiste en haber empleado los criterios de Macyntire para discriminar las muestras aceptables y reproducibles. Hoy en día el laboratorio se adecua absolutamente a los criterios del 2017, pero son necesarios documentos que generalicen estas normativas para los laboratorios de función pulmonar.
Otra resultante del carácter retrospectivo de la muestra aquí estudiada es la ausencia de ajuste a hemoglobina, que podría ser importante para la interpretación de la DLCO ya que la anemia disminuye el área de difusión debido a una reducción en la hemoglobina capilar pulmonar. Las dos ecuaciones de ajuste más conocidas son la de Cotes y Dinakara que demostraron erráticos resultados en un grupo de pacientes sometidos a trasplante de células madre alogénicas, donde el artificio matemático es crítico30. Al sugerir los parámetros de normalidad para Latinoamérica, Vázquez-García y cols notaron que la hemoglobina tuvo una contribución moderada pero significativa, aunque la altitud fue el factor más relevante en las ecuaciones derivadas18. La mayoría de los estudios publicados para derivación de valores de referencia no ha hecho correcciones para el nivel de hemoglobina. En el trabajo fundacional de Stanojevic, para la derivación de referencias (GLI), el ajuste de la hemoglobina predicha por edad y sexo no fue un predictor independiente de DLCO y ni la corrección de dicho factor en el modelo de predicción mejoró el ajuste general10.
Las primeras tentativas de estandarizar la interpretación de la prueba de difusión de monóxido de carbono recomendaban una misma fuente para los valores previstos de DLCO, VA y kCO aunque no se mencionaba la adopción de alguna ecuación específica11). El mismo análisis de ajuste de los parámetros de referencia para la DLCO se realiza para la VA y kCO cuando se evalúan individuos sin patologías respiratorias colocando a consideración todos los términos que intervienen en la ecuación (edad, altura, etc). Pueden existir diferencias en la medición del volumen del gas, inherentes a la técnica y la interpretación de una kCO elevada puede ser errónea cuando la inspiración es submáxima.
En conclusión, presentamos los resultados del primer ensayo sobre los análisis de ajuste de cuatro ecuaciones de referencia en una muestra de un laboratorio de función pulmonar de la ciudad de Asunción y reportamos que las variables derivadas de la GLI son las que mejor desempeño mostraron para la interpretación de la DLCO. Urge la elaboración de documentos que guíen la correcta técnica de ejecución, la interpretación y el reporte de las pruebas funcionales respiratorias para mejorar el enfoque a los desenlaces clínicos más importantes. La anarquía del “compro el aparato y hago” ya no es compatible con las buenas prácticas porque impacta directamente en la relación medico-paciente, desde cuestiones de coste-beneficio hasta el retardo vital de intervenciones que pudieran moldear favorablemente la salud de nuestros compatriotas.













